Autoeficacia
y motivación en el deporte de jóvenes universitarios
Es bien sabido que el
componente psicológico cada vez guarda una relación más estrecha con el
rendimiento deportivo. Como dice Garfield et. Al. (1987)” un desarrollo
armónico de estos factores permite alcanzar un rendimiento individual máximo
entendido éste como el resultado de una planificación de un programa de
entrenamiento estructurado”.
El estudio que
analizamos a continuación versa sobre la autoeficacia percibida por el
deportista y la motivación que posee hacia su práctica físico-deportiva.
Para contextualizar y
asentar las bases del trabajo definiremos la autoeficacia y la motivación.
· La autoeficacia se entiende como la
creencia o convicción de que una es capaz de ejecutar una tarea de manera
satisfactoria obteniendo un resultado positivo respecto a sus expectativas.
· Por otro lado, la motivación es lo que
mueve al individuo a actuar y comportarse de una determinada manera. Es una
combinación de procesos intelectuales, fisiológicos y psicológicos que decide
una situación propuesta, con qué vigor se actúa y en qué dirección se dirige la
energía (Solana, en DeCatanzaro, 2001)
Así pues, el núcleo
de la investigación radica en la relación que ocupan estos dos ítems de manera
positiva.
Dando un cariz más
amplio a la motivación podemos decir que una gran cantidad de reflexión
psicológica está relacionada con el concepto de la motivación. Es bien sabido
que un buen entrenador debe saber motivar a sus deportistas. Esto también se
debe aplicar al psicólogo deportivo, y quizás, en mayor medida todavía. Estas
dos personalidades dentro del campo del rendimiento deportivo deben saber
motivar a sus deportistas a corto, largo y específicos plazos de tiempo.
(González, 1997).
Las clasificaciones
más vistas acerca de la motivación en el ámbito deportivo es la m. interna, m.
externa y desmotivación. La motivación debería ser examinada en diferentes
niveles. Se dice que tanto la motivación intrínseca como la extrínseca y la
desmotivación existen en tres diferentes niveles: global, contextual, y
situacional.
De esta manera, es
importante saber diferenciar entre estos tres niveles clasificatorios, ya que
nos permite un mayor conocimiento del comportamiento humano a nivel
motivacional.
En lo referido a la
autoeficacia, las creencias de ésta no son juicios acerca de las habilidades
que uno tiene, objetivamente hablando, sino que son juicios de lo que uno puede
lograr o completar con esas habilidades. (Vallerand, Deci, y Ryan, 1987).
Entrando en ámbito
puro de la investigación, empezaremos con la hipótesis de ésta, la cual expone
que hay una correlación estadísticamente significativa entre la autoeficacia y
la motivación en el deporte, y si existe, ésta es directamente proporcional. En
el diseño de la investigación encontramos una investigación de tipo ex post facto,
ya que la hipótesis se valida una vez el fenómeno ha concluido. El proyecto
tiene un carácter confirmatorio ya que su objetivo es comprobar que la
hipótesis es verdad y probarla. En cuanto al tiempo, esta investigación es de
tipo de transversal, ya que aplicaremos unas escalas y a partir del tratamiento
de los resultados de éstas, concretaremos las conclusiones. Finalmente, podemos
decir que la investigación ha sido mediante un estudio de campo fuera de
laboratorio.
Los sujetos fueron
mujeres y hombres de entre 18 y 30 años que participen en alguna disciplica
deportiva, sin importar en nivel socioeconómico. La muestra fue de 30 sujetos
en total.
En lo referido a
instrumentación se usaron dos escalas, para medir la autoeficacia. Se
utilizó la "Physical Self Efficacy Scale" (PSE), esta escala fue
hecha por Richard M. Ryckman y sus colaboradores. (Singer, 2001). Esto estima
las diferencias que pueden haber a nivel individual de las habilidades físicas
que se perciben y la condición física.
Según el texto en lo
que se refiere a la medida de la motivación “La otra escala es la que mide la
motivación y es "la Escala de la Motivación en el Deporte" (E.M.D.),
que fue traducida al español y adaptada para la población de México por López
(2000), donde puede consultarse los valores psicométricos relevantes y
originariamente diseñada por Biére, Vallerand, Blais y Pelletier (Singer,
2001). La escala presenta siete factores que son: 1. Amotivación, 2. Motivación
Extrínseca (Regulación Externa), 3. Motivación Intrínseca Estética (Regulación
introyectada), 4. Motivación intrínseca autosuperada (Regulación identificada),
5. Motivación Intrínseca al conocimiento, 6. Motivación Intrínseca al
conocimiento, y 7. Motivación Integral Deportiva (Motivación Intrínseca a la
estimulación). “(Joloy 2006)
En cuanto a los
resultas y tratamiento de estos. Se utilizó el programa SPSS para la resolución
estadística y la correlación entre las dos variables (autoeficacia y
motivación).
Al analizar la tabla podemos decir que no existe una relación
estadísticamente significativa entre la autoeficacia que se percibe y la
motivación hacia el deporte practicado por parte de los sujetos.
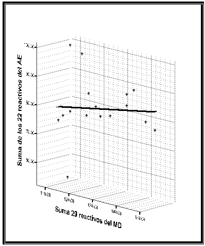
Esta gráfica de puntos
podemos ver más claramente cómo la correlación entre las dos variables es
prácticamente inexistente, pues la línea se mantiene paralela al eje X, y los
puntos no comportan una estructura homogénea sobre ambos ejes.
Así pues, podemos
concluir que la hipótesis es falsa, ya que no es necesariamente cierto que una
mayor autoeficacia percibida, mayor motivación por la tarea físico-deportiva.
Siendo así, también podemos decir que no están relacionadas entre sí, aunque de
forma independiente siguen siendo cruciales para el éxito en el rendimiento
deportivo.
Como opinión personal y
al leer la introducción del artículo de investigación, estábamos convencidos de
una interrelación positiva y retroalimentada entre las variables de la
autoeficacia y motivación. Es lógico pensar que la experiencia previa positiva
antes de realizar una exigencia deportiva, puede ayudarnos a estar más
motivados, pues sabemos que podemos superar la prueba, aunque bajo nuestro
punto de vista, un nuevo reto siempre será más motivante a la hora de
previsualizarlo y aun más, cuando sea logrado.
Referencias
bibliográficas
- Blanchard, C. y
Vallerand R.J. (1996), On
the relations between situational motivation and situational consequences
in basketball. Raw Data, University of Quebec, Canada.
- DeCatanzaro,
Denys A. (2001), Motivación
y Emoción, Prentice Hall, México
- González,
José Lorenzo. (1997), Psicología
del deporte, Biblioteca Nueva, Madrid.
- González,
José Lorenzo. (1996), El
entrenamiento psicológico en los deportes, Biblioteca Nueva,
Madrid.
- González,
José Lorenzo. (1992), Psicología
y Deporte, Biblioteca Nueva, Madrid.
- Marshall
Revé, John. (1994). Motivación
y Emoción, Mc Graw Hill, Madrid.
- Singer Robert,
Hausenblas Heather, Janelle Cristopher. (2001). Handbook of sport psychology, second
edition, New York.
- Vallerand, R.J,
Deci, E.L, Y Ryan, R.M.(1987) Intrinsic
motivation in sport. Ink Pandolf (Ed.) Excersice and sport science reviews (Vol.
15) New York, Macmillan.
- Joloy, E (2006). Autoeficacia y motivación en el deporte en jóvenes universitarios (ed.) Revista Digital - Buenos Aires - vol 10 - N° 92


No hay comentarios:
Publicar un comentario